Упр.7.11 ГДЗ Дорофеев Суворова 7 класс (Алгебра)
Решение #1

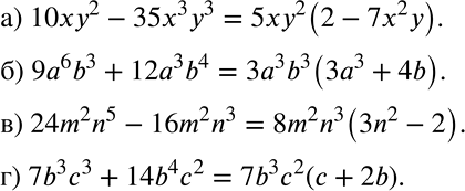
Рассмотрим вариант решения задания из учебника Дорофеев, Суворова, Бунимович 7 класс, Просвещение:
а) 10ху2 - 35х3у3;
б) 9а6b3 + 12а3b4;
в) 24m2n5 - 16m2n3;
г) 7b3с3 + 14b4с2.
Популярные решебники 7 класс Все решебники
*размещая тексты в комментариях ниже, вы автоматически соглашаетесь с пользовательским соглашением