Упр.7.10 ГДЗ Дорофеев Суворова 7 класс (Алгебра)
Решение #1

Рассмотрим вариант решения задания из учебника Дорофеев, Суворова, Бунимович 7 класс, Просвещение:
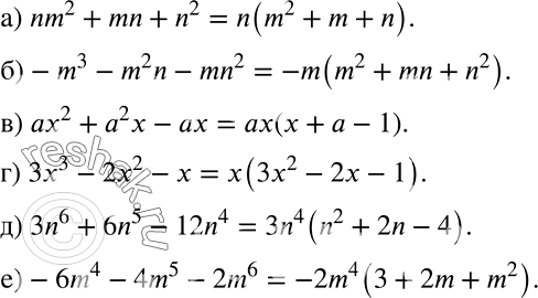
Разложите на множители (820—821).
820 а) nm2 + mn + n2;
б) -m3 - m2n - mn2;
в) ах2 + а2х - ах;
г) 3x3 - 2x2 - х;
д) 3n6 + 6n5 — 12n4;
е) -6m4 - 4m5 - 2m6.
Популярные решебники 7 класс Все решебники
*размещая тексты в комментариях ниже, вы автоматически соглашаетесь с пользовательским соглашением