Упр.7.4 ГДЗ Дорофеев Суворова 7 класс (Алгебра)
Решение #1

Рассмотрим вариант решения задания из учебника Дорофеев, Суворова, Бунимович 7 класс, Просвещение:
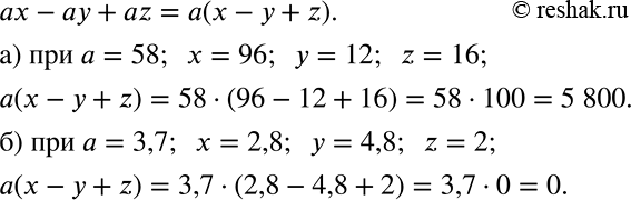
Найдите значение выражения ax - ay + az:
а) при a = 58, x = 96, у = 12, z = 16;
б) при a = 3,7, x = 2,8, у = 4,8, z = 2.
Популярные решебники 7 класс Все решебники
*размещая тексты в комментариях ниже, вы автоматически соглашаетесь с пользовательским соглашением