Упр.7.32 ГДЗ Дорофеев Суворова 7 класс (Алгебра)
Решение #1

Рассмотрим вариант решения задания из учебника Дорофеев, Суворова, Бунимович 7 класс, Просвещение:
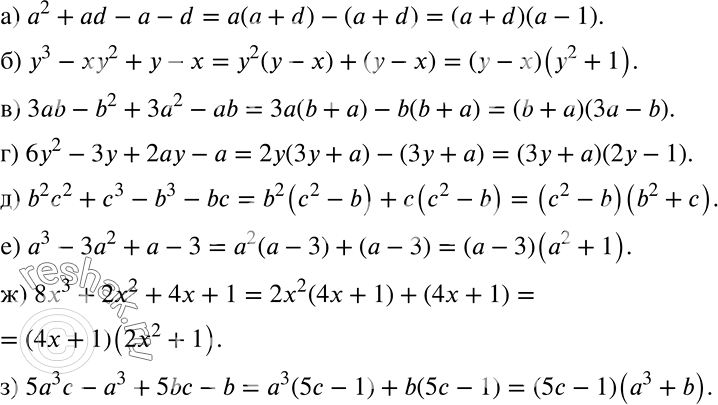
Разложите на множители многочлен:
а) а2 + ad - а - d;
б) у3 - ху2 + у - х;
в) 3аb - b2 + 3а2 - аb;
г) 6у2 - 3у + 2ау - а;
д) b2с2 + с3- b3 - bс;
е) а3 - 3а2 + а - 3;
ж) 8х3 + 2х2 + 4х + 1;
з) 5а3с - а3 + 5bс - b.
Популярные решебники 7 класс Все решебники
*размещая тексты в комментариях ниже, вы автоматически соглашаетесь с пользовательским соглашением