Упр.7.28 ГДЗ Дорофеев Суворова 7 класс (Алгебра)
Решение #1

Рассмотрим вариант решения задания из учебника Дорофеев, Суворова, Бунимович 7 класс, Просвещение:
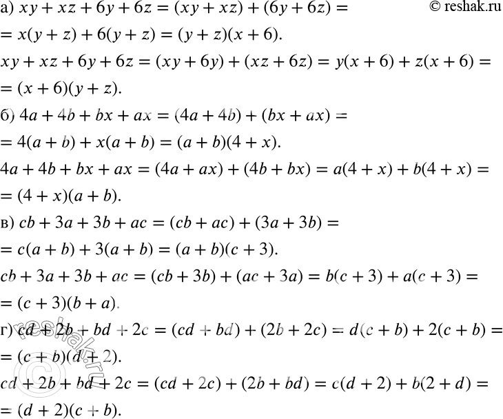
Разложите многочлен на множители, группируя одночлены разными способами:
а) ху + xz + 6у + 6z;
б) 4а + 4b + bх + ах;
в) cb + 3а + 3b + ас;
г) cd + 2b + bd + 2с.
Популярные решебники 7 класс Все решебники
*размещая тексты в комментариях ниже, вы автоматически соглашаетесь с пользовательским соглашением