Упр.7.35 ГДЗ Дорофеев Суворова 7 класс (Алгебра)
Решение #1

Рассмотрим вариант решения задания из учебника Дорофеев, Суворова, Бунимович 7 класс, Просвещение:
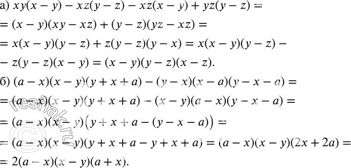
а) ху(х - у) - xz(y - z) - xz(x - у) + yz(y - z);
б) (a - x){x - y)(y + x + a) - (y - x)(x - a)(y - x - a).
Популярные решебники 7 класс Все решебники
*размещая тексты в комментариях ниже, вы автоматически соглашаетесь с пользовательским соглашением