Упр.7.26 ГДЗ Дорофеев Суворова 7 класс (Алгебра)
Решение #1

Рассмотрим вариант решения задания из учебника Дорофеев, Суворова, Бунимович 7 класс, Просвещение:
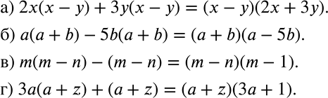
Представьте выражение в виде произведения:
а) 2х(х - у) + 3у(х - у);
б) a(a + b) - 5b(a + b);
в) m(m - n) - (m - n);
г) 3а(а + z) + (а + z).
Популярные решебники 7 класс Все решебники
*К сожалению, временные проблемы с публикацией комментариев с мобильных устройств.