Упр.7.22 ГДЗ Дорофеев Суворова 7 класс (Алгебра)
Решение #1

Рассмотрим вариант решения задания из учебника Дорофеев, Суворова, Бунимович 7 класс, Просвещение:
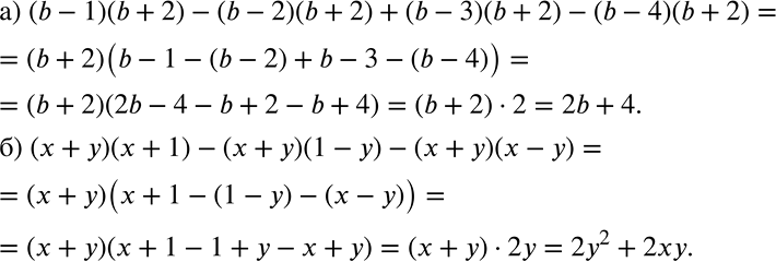
Преобразуйте в многочлен, применяя вынесение общего множителя за скобки:
а) (b - 1)(b + 2)-(b- 2)(b + 2) + (b - 3)(b + 2) - (b - 4)(b + 2);
б) (х + у)(х + 1) - (х + y)(1 - у) - (х + у)(х - у).
Популярные решебники 7 класс Все решебники
*К сожалению, временные проблемы с публикацией комментариев с мобильных устройств.