Упр.686 ГДЗ Мерзляк Полонский 8 класс (Алгебра)
Решение #1 (Учебник 2025)
Решение #2 (Учебник 2025)
Решение #3 (Учебник 2019)
Решение #4 (Учебник 2019)

Рассмотрим вариант решения задания из учебника Мерзляк, Полонская, Якир 8 класс, Просвещение:
При каком значении a уравнение (а - 2)х2 + (2a - 1)х + а2 - 4 = 0 является:
1) линейным;
2) приведённым квадратным;
3) неполным непреведённым квадратным;
4) неполным приведенным квадратным?
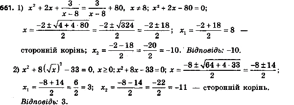
Решите уравнение:
1) x2 + 2х + 3/(x-8) = 3/(x-8) + 80;
2) x2 + 8(корень x)2 - 33 = 0.
Похожие решебники
Популярные решебники 8 класс Все решебники
*К сожалению, временные проблемы с публикацией комментариев с мобильных устройств.