Упр.685 ГДЗ Мерзляк 8 класс (Алгебра)
Решение #1
Решение #2
Решение #3

Рассмотрим вариант решения задания из учебника Мерзляк, Полонская, Якир 8 класс, Вентана-Граф:
685. Решите уравнение:
1) |x2 + 10x - 4| = 20;
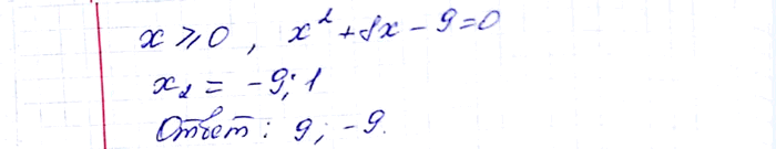
2) х|х| + 12x - 45 = 0;
3) x3/|x| - 14x - 15 = 0;
4) х2 - 8 корень х2 - 9 = 0.
Похожие решебники
Популярные решебники 8 класс Все решебники
*размещая тексты в комментариях ниже, вы автоматически соглашаетесь с пользовательским соглашением