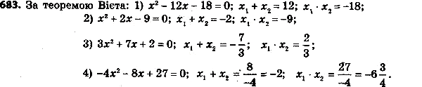
Упр.683 ГДЗ Мерзляк Полонский 8 класс (Алгебра)
Решение #1 (Учебник 2025)
Решение #2 (Учебник 2025)
Решение #3 (Учебник 2019)

Рассмотрим вариант решения задания из учебника Мерзляк, Полонская, Якир 8 класс, Просвещение:
Каким многочленом можно заменить звёздочку в уравнении x2 + 5x - 1 + * = 0, чтобы получилось неполное квадратное уравнение, корнями которого являются числа:
1) 0; -7;
2) -4; 4?
Сколько сторон у многоугольника, если в нём можно провести 90 диагоналей?
Похожие решебники
Популярные решебники 8 класс Все решебники
*К сожалению, временные проблемы с публикацией комментариев с мобильных устройств.