🔥ГДЗ под запретом?

Упр.686 ГДЗ Никольский Потапов 9 класс (Алгебра)

Решение #1

Изображение Упр.686 ГДЗ Никольский Потапов 9 класс

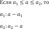
Решение #2

Изображение Упр.686 ГДЗ Никольский Потапов 9 класс

Рассмотрим вариант решения задания из учебника Никольский, Потапов 9 класс, Просвещение:
686. С какой точностью приближает число а1 (а2) число а, если a1 < =a < =a2?
*Цитирирование задания со ссылкой на учебник производится исключительно в учебных целях для лучшего понимания разбора решения задания.
*К сожалению, временные проблемы с публикацией комментариев с мобильных устройств.