Упр.663 ГДЗ Мерзляк 8 класс (Алгебра)
Решение #1
Решение #2
Решение #3

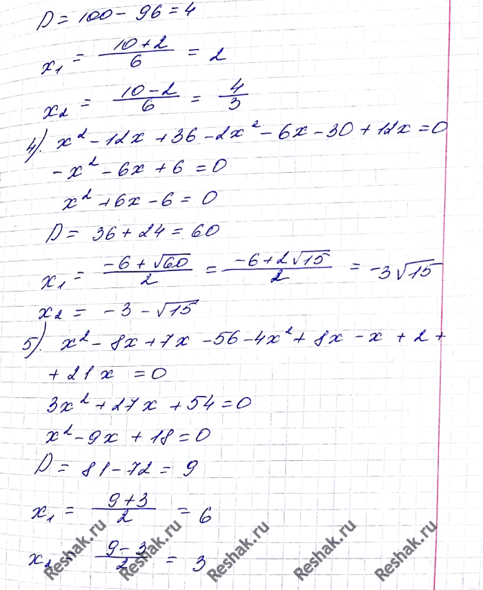
Рассмотрим вариант решения задания из учебника Мерзляк, Полонская, Якир 8 класс, Вентана-Граф:
663. Найдите корни уравнения:
1) (2х - 5)(x + 2) = 18;
2) (4х - З)2 + (Зx - 1)(3x + 1) = 9;
3) (х + З)2 - (2x - 1)2 = 16;
4) (х - 6)2 - 2х(х + 3) = 30 - 12x;
5) (х + 7)(х - 8) - (4х + 1)(x - 2) = -21x;
6) (2х - 1)(2х + 1) - x(1 - х) = 2х(х + 1).
Похожие решебники
Популярные решебники 8 класс Все решебники
*К сожалению, временные проблемы с публикацией комментариев с мобильных устройств.