Упр.662 ГДЗ Мерзляк 8 класс (Алгебра)
Решение #1
Решение #2
Решение #3

Рассмотрим вариант решения задания из учебника Мерзляк, Полонская, Якир 8 класс, Вентана-Граф:
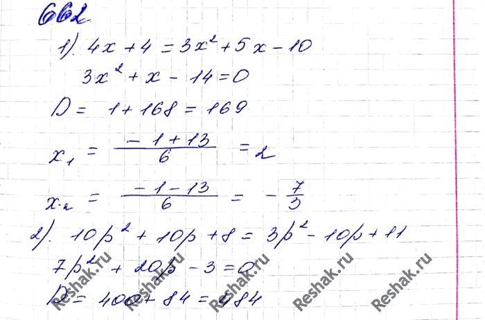
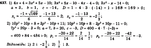
662. При каких значениях переменной:
1) значение двучлена 4х + 4 равно значению трехчлена Зx2 + bх - 10;
2) значения трёхчленов 10р2 + 10р + 8 и 3р2 - 10р + 11 равны?
Похожие решебники
Популярные решебники 8 класс Все решебники
*размещая тексты в комментариях ниже, вы автоматически соглашаетесь с пользовательским соглашением