Упр.661 ГДЗ Мерзляк 8 класс (Алгебра)
Решение #1
Решение #2
Решение #3

Рассмотрим вариант решения задания из учебника Мерзляк, Полонская, Якир 8 класс, Вентана-Граф:
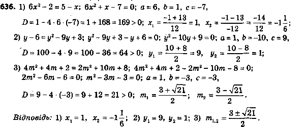
661. При каких значениях переменной:
1) значения многочленов 6x2 - 2 и 5 - х равны;
2) значение двучлена у - 6 равно значению трёхчлена у2 - 9у + 3;
3) трёхчлены 4m2 + 4m + 2 и 2m2 + 10m + 8 принимают равные значения?
Похожие решебники
Популярные решебники 8 класс Все решебники
*К сожалению, временные проблемы с публикацией комментариев с мобильных устройств.