🔥ГДЗ под запретом?

Упр.636 ГДЗ Никольский Потапов 9 класс (Алгебра)

Решение #1

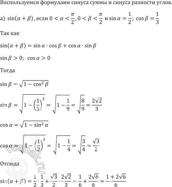
Изображение 636. Вычислите:а) sin(a+b),если...

Решение #2

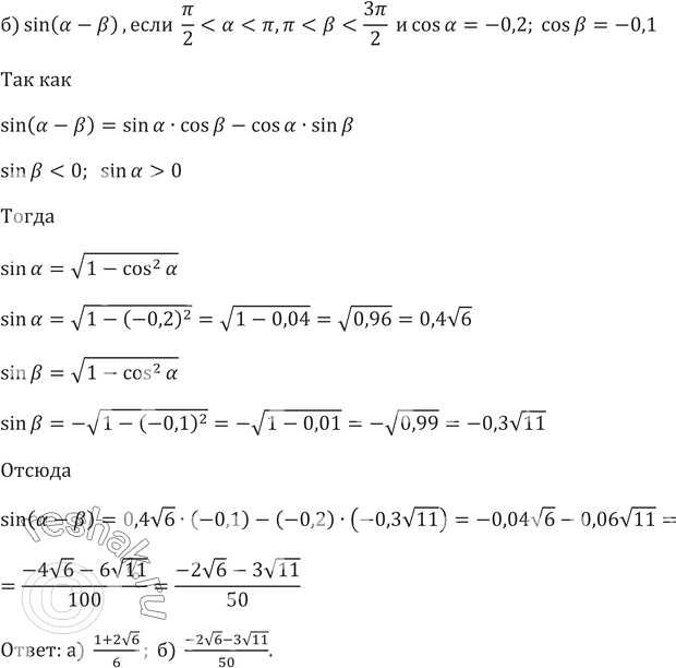
Изображение 636. Вычислите:а) sin(a+b),если...
Дополнительное изображение

Рассмотрим вариант решения задания из учебника Никольский, Потапов 9 класс, Просвещение:
636. Вычислите:
а) sin(a+b),если 0 < a < пи/2,0 < b < пи/2 и sina=1/2; cosb=1/3
б) sin(a-b),если пи/2 < a < пи,пи < b < 3пи/2 и cosa=-0,2; cosb=-0,1
*Цитирирование задания со ссылкой на учебник производится исключительно в учебных целях для лучшего понимания разбора решения задания.
*К сожалению, временные проблемы с публикацией комментариев с мобильных устройств.