🔥ГДЗ под запретом?

Упр.631 ГДЗ Никольский Потапов 9 класс (Алгебра)

Решение #1

Изображение Упр.631 ГДЗ Никольский Потапов 9 класс

Решение #2

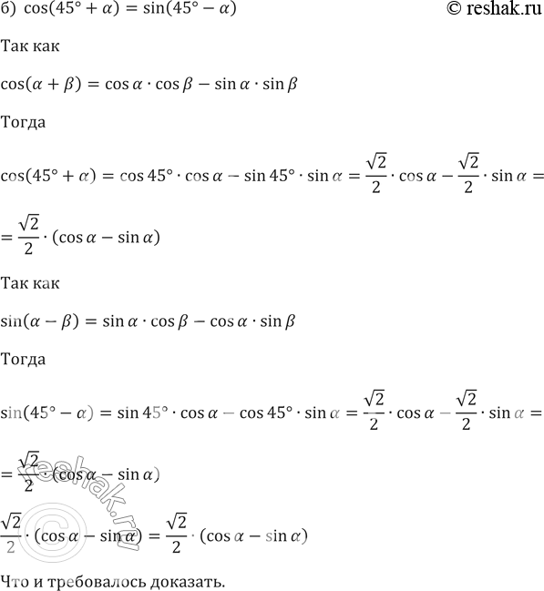
Изображение Упр.631 ГДЗ Никольский Потапов 9 класс
Дополнительное изображение

Рассмотрим вариант решения задания из учебника Никольский, Потапов 9 класс, Просвещение:
а) sin(45°+а)=cos(45°-а)
б) cos(45°+а)=sin(45°-а)
*Цитирирование задания со ссылкой на учебник производится исключительно в учебных целях для лучшего понимания разбора решения задания.
*К сожалению, временные проблемы с публикацией комментариев с мобильных устройств.