Упр.634 ГДЗ Мерзляк 8 класс (Алгебра)
Решение #1
Решение #2
Решение #3

Рассмотрим вариант решения задания из учебника Мерзляк, Полонская, Якир 8 класс, Вентана-Граф:
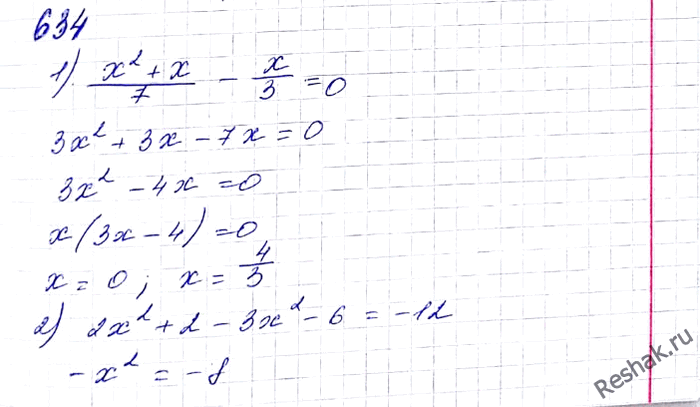
634. Решите уравнение:
1) (x2 + x)/7 - x/3 = 0;
2) (x2 + 1)/6 - (x2 + 2)/4 = -1.
Похожие решебники
Популярные решебники 8 класс Все решебники
*К сожалению, временные проблемы с публикацией комментариев с мобильных устройств.