Упр.628 ГДЗ Мерзляк Полонский 8 класс (Алгебра)
Решение #1 (Учебник 2025)
Решение #2 (Учебник 2025)
Решение #3 (Учебник 2019)
Решение #4 (Учебник 2019)

Рассмотрим вариант решения задания из учебника Мерзляк, Полонская, Якир 8 класс, Просвещение:
Решите графически уравнение:
1) корень x =x;
2) корень x = x2;
3) корень x = x + 2;
4) корень x = 0,5x + 0,5;
5) корень x = 8/x;
6) корень x = 1,5 - 0,5x.
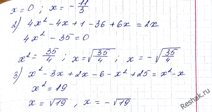
Решите уравнение:
1) (Зx - 1)(x + 4) = -4;
2) (2x - 1)2 - 6(6 - х) = 2х;
3) (x + 2)(х - 3) - (х - 5)(x + 5) = х2 - x.
Похожие решебники
Популярные решебники 8 класс Все решебники
*К сожалению, временные проблемы с публикацией комментариев с мобильных устройств.