🔥ГДЗ под запретом?

Упр.614 ГДЗ Никольский Потапов 9 класс (Алгебра)

Решение #1

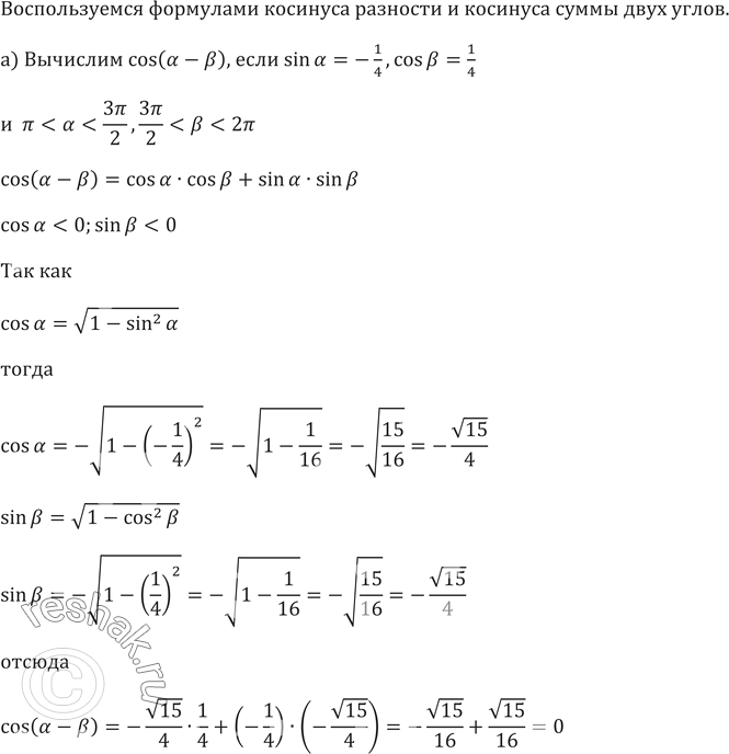
Изображение 614. а) Вычислите cos(a-b), если...

Решение #2

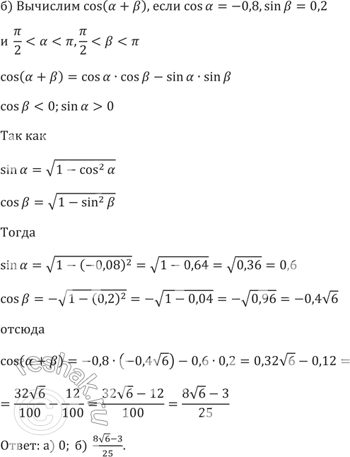
Изображение 614. а) Вычислите cos(a-b), если...
Дополнительное изображение

Рассмотрим вариант решения задания из учебника Никольский, Потапов 9 класс, Просвещение:
614. а) Вычислите cos(a-b), если pi < а < 3pi/2, 3pi/2 < b < 2pi и
sina = 1/4, cosb = 1/4
б) Вычислите cos (а +b), если pi/2 < а < pi, pi/2 < b < pi и
cos а = -0,8, sin b = 0,2.
*Цитирирование задания со ссылкой на учебник производится исключительно в учебных целях для лучшего понимания разбора решения задания.
*К сожалению, временные проблемы с публикацией комментариев с мобильных устройств.