Упр.6.38 ГДЗ Дорофеев Суворова 7 класс (Алгебра)
Решение #1

Рассмотрим вариант решения задания из учебника Дорофеев, Суворова, Бунимович 7 класс, Просвещение:
Применяем алгебру (579-580)
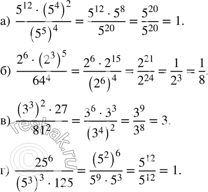
579 Вычислите:
а) (5^12 * (5^4)2)/(5^5)4;
б) (2^6 * (2^3)5)/64^4;
в) ((3^3)2 * 27)/81^2;
г) 25^6/((5^3)3 * 125).
Популярные решебники 7 класс Все решебники
*К сожалению, временные проблемы с публикацией комментариев с мобильных устройств.