Упр.6.33 ГДЗ Дорофеев Суворова 7 класс (Алгебра)
Решение #1

Рассмотрим вариант решения задания из учебника Дорофеев, Суворова, Бунимович 7 класс, Просвещение:
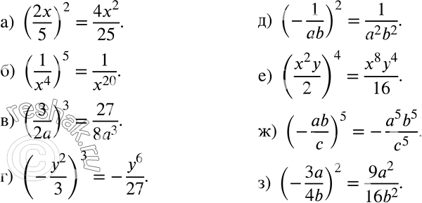
Возведите дробь в степень:
а) (2x/5)2;
б) (1/x4)5;
в) (3/2a)3;
г) (-y2/3)3;
д) (-1/ab)2;
е) (x2y/2)4;
ж) (-ab/c)5;
з) (-3a/4b)2.
Популярные решебники 7 класс Все решебники
*размещая тексты в комментариях ниже, вы автоматически соглашаетесь с пользовательским соглашением