Упр.6.40 ГДЗ Дорофеев Суворова 7 класс (Алгебра)
Решение #1

Рассмотрим вариант решения задания из учебника Дорофеев, Суворова, Бунимович 7 класс, Просвещение:
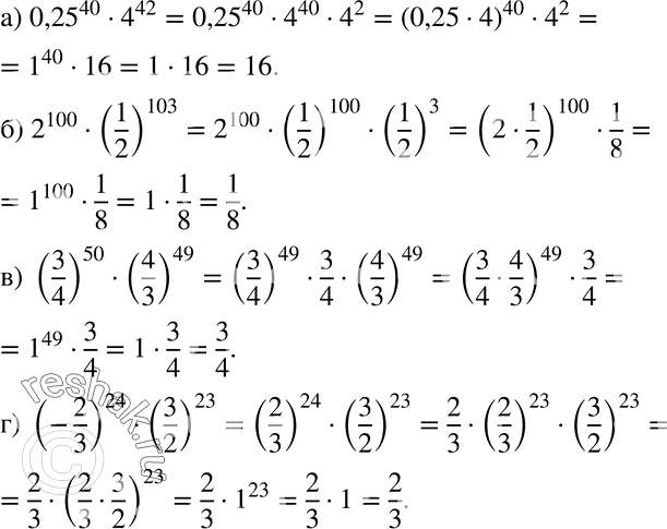
Ищем способ решения Вычислите:
а) 0,25^40 * 4^12;
б) 2^100 * (1/2)103;
в) (3/4) * (4/3)49;
г) (-2/3)24 * (3/2)23.
Популярные решебники 7 класс Все решебники
*К сожалению, временные проблемы с публикацией комментариев с мобильных устройств.