Упр.6.39 ГДЗ Дорофеев Суворова 7 класс (Алгебра)
Решение #1

Рассмотрим вариант решения задания из учебника Дорофеев, Суворова, Бунимович 7 класс, Просвещение:
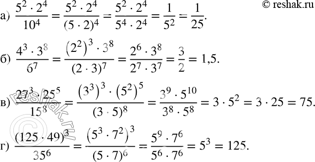
Найдите значение выражения:
а) (5^2 * 2^4)/10^4;
б) (4^3 * 3^8)/6^7;
в) (27^3 * 25^5)/15^8;
г) (125 * 49)3/35^6.
Популярные решебники 7 класс Все решебники
*К сожалению, временные проблемы с публикацией комментариев с мобильных устройств.