Упр.6.31 ГДЗ Дорофеев Суворова 7 класс (Алгебра)
Решение #1

Рассмотрим вариант решения задания из учебника Дорофеев, Суворова, Бунимович 7 класс, Просвещение:
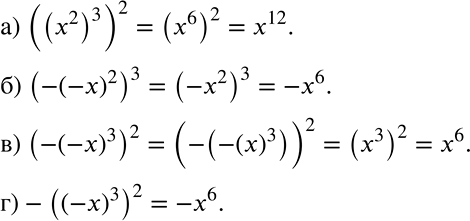
Выполните возведение в степень:
а) ((x2)3)2;
б) (-(-x)2)3;
в) (-(-x)3)2;
г) -((-x)3)2.
Популярные решебники 7 класс Все решебники
*размещая тексты в комментариях ниже, вы автоматически соглашаетесь с пользовательским соглашением