Упр.6.158 ГДЗ Дорофеев Суворова 7 класс (Алгебра)
Решение #1

Рассмотрим вариант решения задания из учебника Дорофеев, Суворова, Бунимович 7 класс, Просвещение:
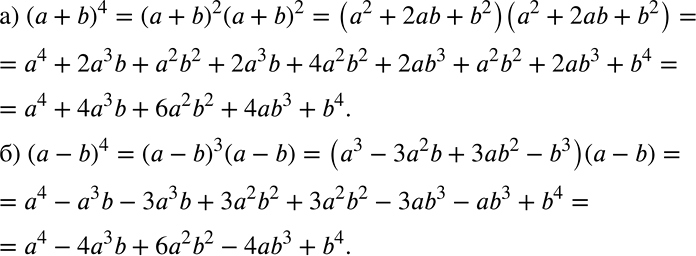
Пользуясь формулами квадрата суммы и квадрата разности, представьте в виде многочлена выражение:
а) (а + b)4; б) (а - b)4.
Популярные решебники 7 класс Все решебники
*К сожалению, временные проблемы с публикацией комментариев с мобильных устройств.