Упр.6.163 ГДЗ Дорофеев Суворова 7 класс (Алгебра)
Решение #1

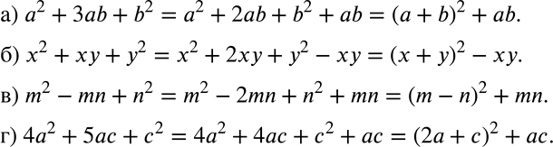
Рассмотрим вариант решения задания из учебника Дорофеев, Суворова, Бунимович 7 класс, Просвещение:
а) а2 + 3ab + b2;
б) х2 + ху + у2;
в) m2 - mn + n2;
г) 4а2 + 5ас + с2.
Популярные решебники 7 класс Все решебники
*К сожалению, временные проблемы с публикацией комментариев с мобильных устройств.