Упр.6.153 ГДЗ Дорофеев Суворова 7 класс (Алгебра)
Решение #1

Рассмотрим вариант решения задания из учебника Дорофеев, Суворова, Бунимович 7 класс, Просвещение:
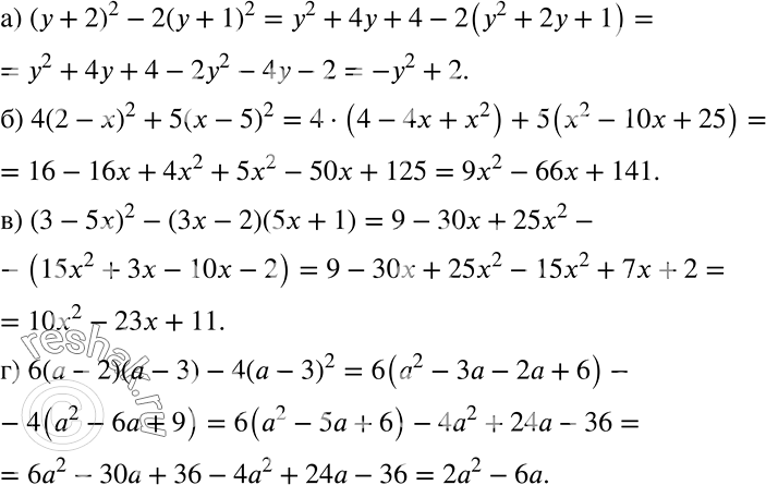
Упростите выражение:
а) (у + 2)2 - 2(y + 1)2;
б) 4(2 - x)2 + 5(х - 5)2;
в) (3 - 5x)2 - (3х - 2)(5х + 1);
г) 6(а - 2)(а - 3) - 4(а - 3)2.
Популярные решебники 7 класс Все решебники
*К сожалению, временные проблемы с публикацией комментариев с мобильных устройств.