Упр.574 ГДЗ Мерзляк 8 класс (Алгебра)
Решение #1
Решение #2
Решение #3

Рассмотрим вариант решения задания из учебника Мерзляк, Полонская, Якир 8 класс, Вентана-Граф:
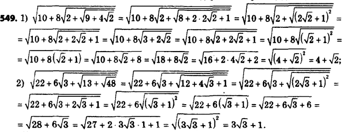
574. Упростите выражение:
1) корень (10 + 8 корень (2 + корень (9 + 4 корень 2)));
2) корень (22 + 6 корень (3 + корень (13 + корень 48))).
Похожие решебники
Популярные решебники 8 класс Все решебники
*размещая тексты в комментариях ниже, вы автоматически соглашаетесь с пользовательским соглашением