Упр.568 ГДЗ Мерзляк Полонский 8 класс (Алгебра)
Решение #1 (Учебник 2025)
Решение #2 (Учебник 2019)

Рассмотрим вариант решения задания из учебника Мерзляк, Полонская, Якир 8 класс, Просвещение:
Освободитесь от иррациональности в знаменателе дроби:
1) 4/ корень 2;
2) 12/ корень 6;
3) 18/ корень 5;
4) m/ корень n;
5) a/ (b корень b);
6) 5/ корень 15;
7) 7/ корень 7;
8) 24/ (5 корень 3).
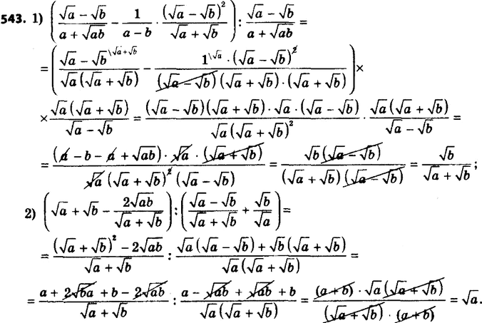
Упростите выражение:
Похожие решебники
Популярные решебники 8 класс Все решебники
*К сожалению, временные проблемы с публикацией комментариев с мобильных устройств.