Упр.545 ГДЗ Мерзляк Полонский 7 класс (Алгебра)
Решение #1 (Учебник 2025)
Решение #2 (Учебник 2025)
Решение #3 (Учебник 2021)
Решение #4 (Учебник 2021)

Рассмотрим вариант решения задания из учебника Мерзляк, Полонская, Якир 7 класс, Вентана-Граф:
Вычислите, используя вынесение общего множителя за скобки:
1) 173^2 + 173 * 27;
2) 214 * 314 - 214^2;
3) 0,4^3 + 0,4^2 -0,6.
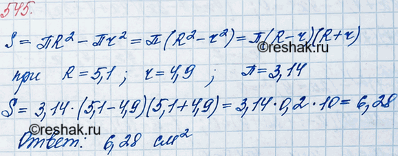
Две окружности, радиусы которых равны R и r (R > r), имеют общий центр. Выразите через пи,
R и r площадь фигуры, ограниченной этими окружностями. Вычислите значение полученного выражения при R = 5,1 см, r= 4,9 см.
Похожие решебники
Популярные решебники 7 класс Все решебники
*К сожалению, временные проблемы с публикацией комментариев с мобильных устройств.