Упр.541 ГДЗ Мерзляк Полонский 7 класс (Алгебра)
Решение #1 (Учебник 2025)
Решение #2 (Учебник 2021)
Решение #3 (Учебник 2021)

Рассмотрим вариант решения задания из учебника Мерзляк, Полонская, Якир 7 класс, Вентана-Граф:
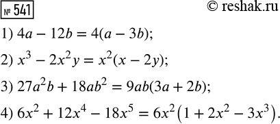
Завершите разложение многочлена на множители:
1) 4а - 12b; 3) 27a^2 b + 18ab^2;
2) x^3 - 2х^2 y; 4) 6x^2 + 12x^4 - 18x^5.
Представьте в виде произведения выражение:
1) (х-2)2 -4;
2) (b + 7)2 - 100с2;
3) 121 - (b + 7)2;
4) а4 -(7b-a2)2;
5) (4х - 9)2 - (2х + 19)2;
6) (а + b + с)2 - (а - b - с)2.
Похожие решебники
Популярные решебники 7 класс Все решебники
*К сожалению, временные проблемы с публикацией комментариев с мобильных устройств.