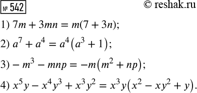
Упр.542 ГДЗ Мерзляк Полонский 7 класс (Алгебра)
Решение #1 (Учебник 2025)
Решение #2 (Учебник 2021)
Решение #3 (Учебник 2021)

Рассмотрим вариант решения задания из учебника Мерзляк, Полонская, Якир 7 класс, Вентана-Граф:
Завершите разложение многочлена на множители:
1) 7m + 3mn; 3) -m^3 - mnр;
2) а^7 + а^4; 4) х^5 у - х^4 у^3 + x^3 y^2.
Найдите значение выражения:
1) (9х - 4)2 - (7х + 5)2, если х = 1,5;
2) (5х + 3у)2 - (3х + 5у)2, если х = 2,1, у = 1,9.
Похожие решебники
Популярные решебники 7 класс Все решебники
*К сожалению, временные проблемы с публикацией комментариев с мобильных устройств.