Упр.538 ГДЗ Мерзляк 8 класс (Алгебра)
Решение #1
Решение #2
Решение #3

Рассмотрим вариант решения задания из учебника Мерзляк, Полонская, Якир 8 класс, Вентана-Граф:
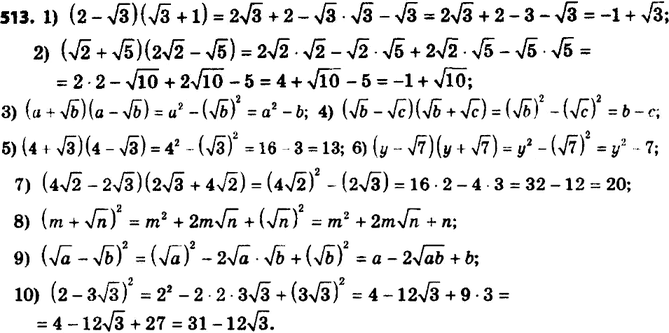
538. Выполните умножение:
1) (2 - корень 3)(корень 3 + 1);
2) (корень 2 + корень 5)(2 корень 2 - корень 5);
3) (a + корень b) (a - корень b) ;
4) (корень b - корень с)(корень b + корень с);
5) (4 + корень 3)(4 - корень 3);
6) (y - корень 7)(y + корень 7);
7) (4 корень 2 - 2 корень 3)(2 корень 3 + 4 корень 2);
8) (m + корень n)2;
9) (корень a - корень b)2;
10) (2 - 3 корень 3)2.
Похожие решебники
Популярные решебники 8 класс Все решебники
*размещая тексты в комментариях ниже, вы автоматически соглашаетесь с пользовательским соглашением