Упр.52.10 ГДЗ Мерзляк 10 класс Углубленный уровень (Алгебра)
Решение #1

Рассмотрим вариант решения задания из учебника Мерзляк, Номировский, Поляков 10 класс, Просвещение:
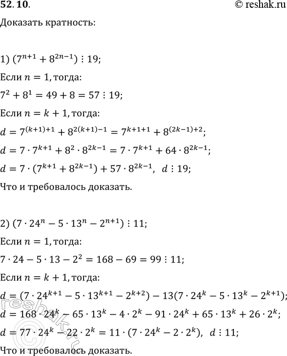
52.10. Докажите, что для любого натурального n:
1) (7^(n+1)+8^(2n-1))?19; 2) (7·24^n-5·13^n-2^(n+1))?11.
Похожие решебники
Популярные решебники 10 класс Все решебники
*размещая тексты в комментариях ниже, вы автоматически соглашаетесь с пользовательским соглашением