Упр.499 ГДЗ Мерзляк Полонский 7 класс (Алгебра)
Решение #1
Решение #2

Рассмотрим вариант решения задания из учебника Мерзляк, Полонская, Якир 7 класс, Вентана-Граф:
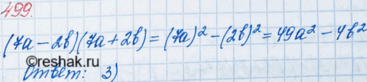
499 Какому из данных многочленов тождественно равно произведение (7a-2b)(7a + 2b):
1) 7a2 - 2b2;
2) 7а2 + 2b2 ;
3) 49a2 - 4b2;
4) 49a2 + 4b2 ?
Похожие решебники
Популярные решебники 7 класс Все решебники
*К сожалению, временные проблемы с публикацией комментариев с мобильных устройств.