Упр.492 ГДЗ Мерзляк Полонский 5 класс (Математика)
Решение #1 (Учебник 2024)
Решение #2 (Учебник 2019)

Рассмотрим вариант решения задания из учебника Мерзляк, Полонский, Якир 5 класс, Просвещение:
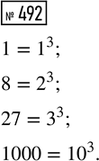
Какие из данных чисел равны кубу натурального числа: 1, 6, 8, 25, 27, 49, 1000?
Решите уравнение:
1) 9b+6b-15=615; 3) 17x-x+5x-19=170;
2) 2a+123a+97=472; 4) 73y-y-22y+40=190.
Похожие решебники
Популярные решебники 5 класс Все решебники
*размещая тексты в комментариях ниже, вы автоматически соглашаетесь с пользовательским соглашением