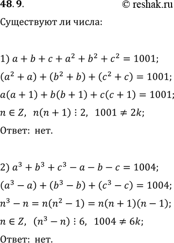
Упр.48.9 ГДЗ Мерзляк 10 класс Углубленный уровень (Алгебра)
Решение #1

Рассмотрим вариант решения задания из учебника Мерзляк, Номировский, Поляков 10 класс, Просвещение:
48.9. Существуют ли такие целые числа a, b и с, что:
1) a+b+c+a^2+b^2+c^2=1001; 2) a^3+b^3+c^3-a-b-c=1004?
Похожие решебники
Популярные решебники 10 класс Все решебники
*размещая тексты в комментариях ниже, вы автоматически соглашаетесь с пользовательским соглашением