Упр.48.14 ГДЗ Мерзляк 10 класс Углубленный уровень (Алгебра)
Решение #1

Рассмотрим вариант решения задания из учебника Мерзляк, Номировский, Поляков 10 класс, Просвещение:
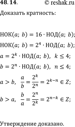
48.14. Наименьшее общее кратное некоторых двух натуральных чисел в 16 раз больше их наибольшего общего делителя. Докажите, что одно из этих чисел кратно другому.
Похожие решебники
Популярные решебники 10 класс Все решебники
*размещая тексты в комментариях ниже, вы автоматически соглашаетесь с пользовательским соглашением