Упр.41.19 ГДЗ Мордкович Семенов 8 класс (Алгебра)
Решение #1 (Учебник 2025)

Рассмотрим вариант решения задания из учебника Мордкович, Семенов, Александрова 8 класс, Просвещение:
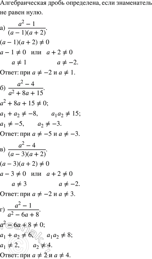
Укажите значения переменной, при которых определена алгебраическая дробь:
а) (a^2 - 1)/((a - 1)(a + 2)); в) (a^2 - 4)/((a - 3)(a + 2));
б) (a^2 - 4)/(a^2 + 8a + 15); г) (a^2 - 1)/(a^2 - 6a + 8).
Похожие решебники
Популярные решебники 8 класс Все решебники
*К сожалению, временные проблемы с публикацией комментариев с мобильных устройств.