Упр.41.17 ГДЗ Мордкович Семенов 8 класс (Алгебра)
Решение #1 (Учебник 2025)

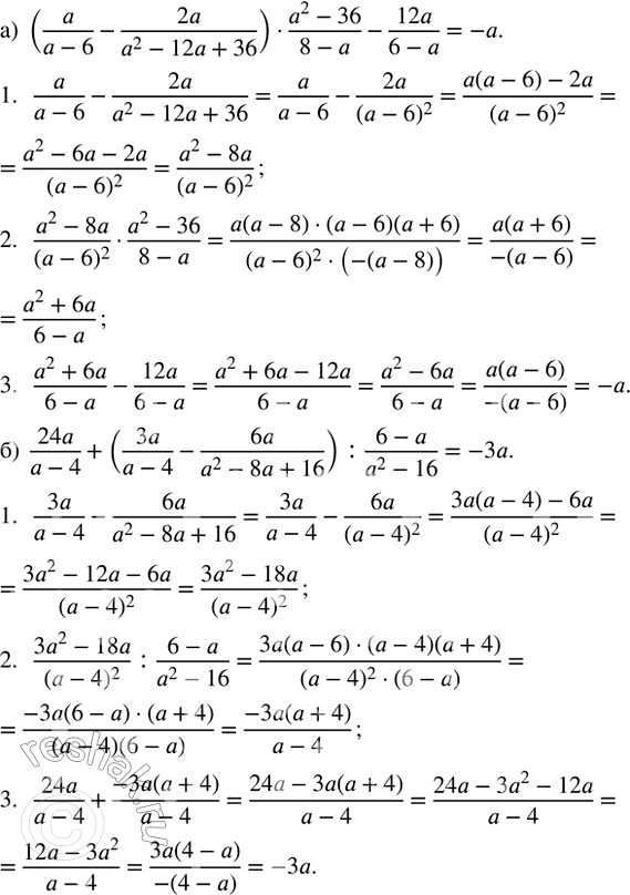
Рассмотрим вариант решения задания из учебника Мордкович, Семенов, Александрова 8 класс, Просвещение:
Упростите выражение:
а) (a/(a - 6) - 2a/(a^2 - 12a + 36)) · (a^2 - 36)/(8 - a) - 12a/(6 - a);
б) 24a/(a - 4) + (3a/(a - 4) - 6a/(a^2 - 8a + 16)) : (6 - a)/(a^2 - 16).
Похожие решебники
Популярные решебники 8 класс Все решебники
*К сожалению, временные проблемы с публикацией комментариев с мобильных устройств.