Упр.41.18 ГДЗ Мордкович Семенов 8 класс (Алгебра)
Решение #1 (Учебник 2025)

Рассмотрим вариант решения задания из учебника Мордкович, Семенов, Александрова 8 класс, Просвещение:
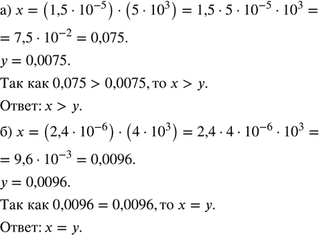
Сравните числа:
а) х = (1,5 · 10^(-5)) · (5 · 10^3) и у = 0,0075;
б) х = (2,4 · 10^(-6)) · (4 · 10^3) и у = 0,0096.
Похожие решебники
Популярные решебники 8 класс Все решебники
*К сожалению, временные проблемы с публикацией комментариев с мобильных устройств.