🔥ГДЗ под запретом?

Упр.402 ГДЗ Никольский Потапов 9 класс (Алгебра)

Решение #1

Изображение 402. Упростите выражение (402-403):а)((a^(1/2)+2)/((a+2a)^(1/2)+1)-(a^(1/2)-2)/(a-1))•(a^(1/2)+1)/a^(1/2) б) ((x^(1/2)+3y^(1/2))/((x-2x)^(1/2)...
Дополнительное изображение

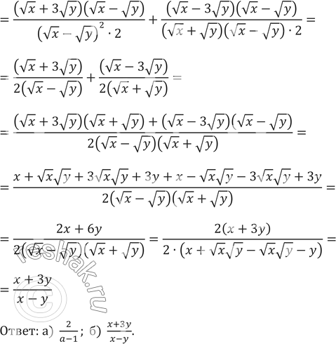
Решение #2

Изображение 402. Упростите выражение (402-403):а)((a^(1/2)+2)/((a+2a)^(1/2)+1)-(a^(1/2)-2)/(a-1))•(a^(1/2)+1)/a^(1/2) б) ((x^(1/2)+3y^(1/2))/((x-2x)^(1/2)...
Дополнительное изображение

Рассмотрим вариант решения задания из учебника Никольский, Потапов 9 класс, Просвещение:
402. Упростите выражение (402-403):
а)((a^(1/2)+2)/((a+2a)^(1/2)+1)-(a^(1/2)-2)/(a-1))•(a^(1/2)+1)/a^(1/2)
б) ((x^(1/2)+3y^(1/2))/((x-2x)^(1/2) y^(1/2)+y)+(x^(1/2)-3y^(1/2))/(x-y))•(x^(1/2)-y^(1/2))/2
*Цитирирование задания со ссылкой на учебник производится исключительно в учебных целях для лучшего понимания разбора решения задания.
*К сожалению, временные проблемы с публикацией комментариев с мобильных устройств.