Упр.402 ГДЗ Мерзляк Полонский 8 класс (Алгебра)
Решение #1 (Учебник 2025)
Решение #2 (Учебник 2025)
Решение #3 (Учебник 2019)
Решение #4 (Учебник 2019)

Рассмотрим вариант решения задания из учебника Мерзляк, Полонская, Якир 8 класс, Просвещение:
Найдите значение арифметического квадратного корня:
1) корень 36;
2) корень 64;
3) корень 144;
4) корень 0,04;
5) корень 0,49;
6) корень 1,69;
7) корень 2500;
8) корень 10 000;
9) корень 16/121;
10) корень (5 4/9);
11) корень 0,0009;
12) корень 0,0196.
Решите уравнение:
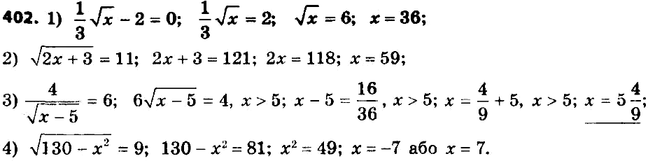
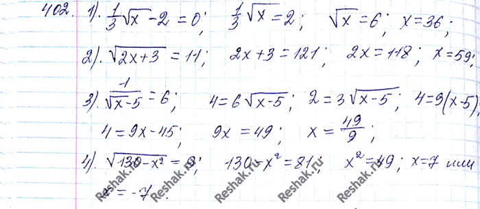
1) 1/3 * корень x - 2=0;
2) корень (2x+3) = 11;
3) 4 / корень (x-5) = 6;
4) корень (130-x2) = 9.
Похожие решебники
Популярные решебники 8 класс Все решебники
*К сожалению, временные проблемы с публикацией комментариев с мобильных устройств.