Упр.403 ГДЗ Мерзляк Полонский 8 класс (Алгебра)
Решение #1 (Учебник 2025)
Решение #2 (Учебник 2025)
Решение #3 (Учебник 2019)
Решение #4 (Учебник 2019)

Рассмотрим вариант решения задания из учебника Мерзляк, Полонская, Якир 8 класс, Просвещение:
Имеет ли смысл выражение:
1) корень 2
2) - корень 2;
3) корень -2;
4) корень (-2)2;
5) (корень -2)2?
Решите уравнение:
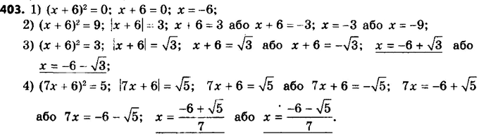
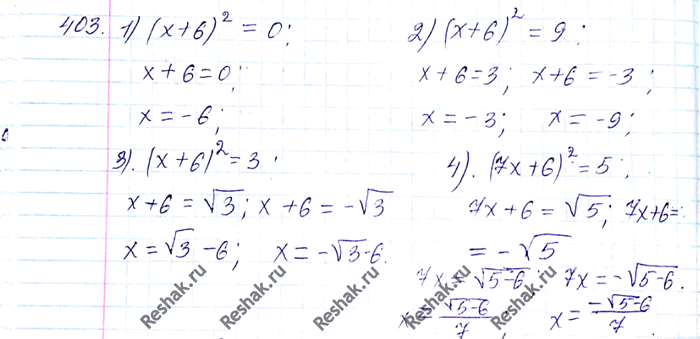
1) (х + 6)2 = 0;
2) (х + 6)2 = 9;
3) (х + 6)2 = 3;
4) (7х + 6)2 = 5.
Похожие решебники
Популярные решебники 8 класс Все решебники
*К сожалению, временные проблемы с публикацией комментариев с мобильных устройств.