Упр.398 ГДЗ Мерзляк 8 класс (Алгебра)
Решение #1
Решение #2
Решение #3

Рассмотрим вариант решения задания из учебника Мерзляк, Полонская, Якир 8 класс, Вентана-Граф:
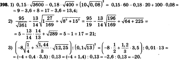
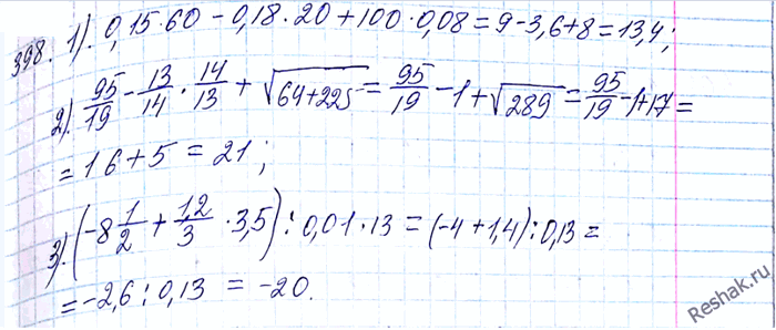
398. Найдите значение выражения:
1) 0,15 корень 3600 - 0,18 корень 400 + (10 корень 0,08)2;
2) 95/корень 361 - 13/14 * корень (1 27/169) + корень (8^2 + 15^2);
3) (-8 * корень (1/4) + корень 1,44 /3 * корень 12,25): (0,1 корень 13)2.
Похожие решебники
Популярные решебники 8 класс Все решебники
*К сожалению, временные проблемы с публикацией комментариев с мобильных устройств.