🔥ГДЗ под запретом?

Упр.4.81 ГДЗ Виленкин Жохов 6 класс Часть 2, Просвещение (Математика)

Решение #1 (Учебник 2023)

Изображение Найдите корень уравнения: а) -а = -9,123;  б) -z = 4 3/7.Уравнение – это равенство, содержащее букву, значение которой необходимо найти.Корень уравнения – это...

Решение #2 (Учебник 2023)

Изображение Найдите корень уравнения: а) -а = -9,123;  б) -z = 4 3/7.Уравнение – это равенство, содержащее букву, значение которой необходимо найти.Корень уравнения – это...

Решение #3 (Учебник 2023)

Изображение Найдите корень уравнения: а) -а = -9,123;  б) -z = 4 3/7.Уравнение – это равенство, содержащее букву, значение которой необходимо найти.Корень уравнения – это...

Рассмотрим вариант решения задания из учебника Виленкин, Жохов, Чесноков 6 класс, Просвещение:
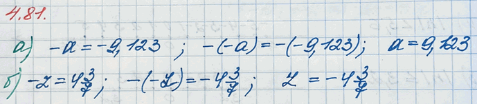
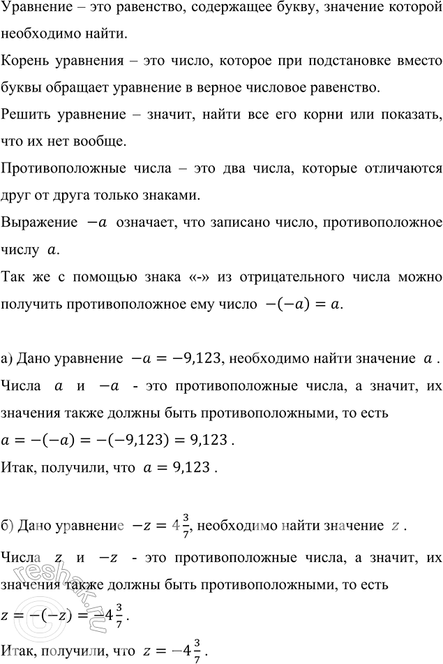
Найдите корень уравнения: а) -а = -9,123; б) -z = 4 3/7.
Уравнение – это равенство, содержащее букву, значение которой необходимо найти.
Корень уравнения – это число, которое при подстановке вместо буквы обращает уравнение в верное числовое равенство.
Решить уравнение – значит, найти все его корни или показать, что их нет вообще.
Противоположные числа – это два числа, которые отличаются друг от друга только знаками.
Выражение -a означает, что записано число, противоположное числу a.
Так же с помощью знака «-» из отрицательного числа можно получить противоположное ему число -(-a)=a.
а) Дано уравнение -a=-9,123, необходимо найти значение a .
Числа a и -a - это противоположные числа, а значит, их значения также должны быть противоположными, то есть
a=-(-a)=-(-9,123)=9,123 .
Итак, получили, что a=9,123 .
б) Дано уравнение -z=4 3/7, необходимо найти значение z .
Числа z и -z - это противоположные числа, а значит, их значения также должны быть противоположными, то есть
z=-(-z)=-4 3/7 .
Итак, получили, что z=-4 3/7 .

*Цитирирование задания со ссылкой на учебник производится исключительно в учебных целях для лучшего понимания разбора решения задания.
*К сожалению, временные проблемы с публикацией комментариев с мобильных устройств.