🔥ГДЗ под запретом?

Упр.4.80 ГДЗ Виленкин Жохов 6 класс Часть 2, Просвещение (Математика)

Решение #1 (Учебник 2023)

Изображение Чему равно а, если -а равно: -7,9; 5,4; -1/4; 0; -9 7/8?Противоположные числа – это два числа, которые отличаются друг от друга только знаками.Число 0...

Решение #2 (Учебник 2023)

Изображение Чему равно а, если -а равно: -7,9; 5,4; -1/4; 0; -9 7/8?Противоположные числа – это два числа, которые отличаются друг от друга только знаками.Число 0...

Решение #3 (Учебник 2023)

Изображение Чему равно а, если -а равно: -7,9; 5,4; -1/4; 0; -9 7/8?Противоположные числа – это два числа, которые отличаются друг от друга только знаками.Число 0...

Рассмотрим вариант решения задания из учебника Виленкин, Жохов, Чесноков 6 класс, Просвещение:
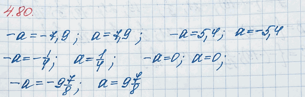
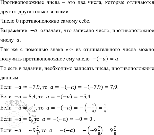
Чему равно а, если -а равно: -7,9; 5,4; -1/4; 0; -9 7/8?
Противоположные числа – это два числа, которые отличаются друг от друга только знаками.
Число 0 противоположно самому себе.
Выражение -a означает, что записано число, противоположное числу a.
Так же с помощью знака «-» из отрицательного числа можно получить противоположное ему число -(-a)=a.
То есть в задании, необходимо записать числа, противоположные данным.
Если -a=-7,9, то a=-(-a)=-(-7,9)=7,9.
Если -a=5,4, то a=-(-a)=-5,4.
Если -a=-1/4, то a=-(-a)=-(-1/4)=1/4 .
Если -a=0, то a=-(-a)=-0=0 .
Если -a=-9 7/8, то a=-(-a)=-(-9 7/8)=9 7/8 .

*Цитирирование задания со ссылкой на учебник производится исключительно в учебных целях для лучшего понимания разбора решения задания.
*К сожалению, временные проблемы с публикацией комментариев с мобильных устройств.