🔥ГДЗ под запретом?

Упр.4.71 ГДЗ Виленкин Жохов 6 класс Часть 2, Просвещение (Математика)

Решение #1 (Учебник 2023)

Изображение Запишите координаты точки А(х), если: а) |x| = 3;   б) |х| = 7,2;   в) |х| = 1 2/5;   г) |x| = 0.Модулем числа a  называют расстояние (в единичных отрезках) от...

Решение #2 (Учебник 2023)

Изображение Запишите координаты точки А(х), если: а) |x| = 3;   б) |х| = 7,2;   в) |х| = 1 2/5;   г) |x| = 0.Модулем числа a  называют расстояние (в единичных отрезках) от...

Решение #3 (Учебник 2023)

Изображение Запишите координаты точки А(х), если: а) |x| = 3;   б) |х| = 7,2;   в) |х| = 1 2/5;   г) |x| = 0.Модулем числа a  называют расстояние (в единичных отрезках) от...

Рассмотрим вариант решения задания из учебника Виленкин, Жохов, Чесноков 6 класс, Просвещение:
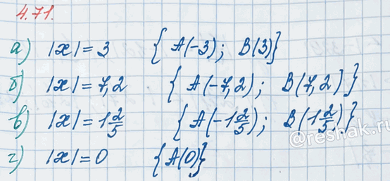
Запишите координаты точки А(х), если:
а) |x| = 3; б) |х| = 7,2; в) |х| = 1 2/5; г) |x| = 0.
Модулем числа a называют расстояние (в единичных отрезках) от начала координат до точки А (a).
Модуль числа не может быть отрицательным.
Для положительного числа и нуля он равен самому числу, а для отрицательного – противоположному числу.
Противоположные числа имеют равные модули.
|a|=|-a|.
а) Значит, модуль 3 имеет число 3 и противоположное ему число -3.
Тогда, точка может иметь координаты А(3) и А(-3).
б) Значит, модуль 7,2 имеет число 7,2 и противоположное ему число -7,2.
Тогда, точка может иметь координаты А(7,2) и А(-7,2).
в) Значит, модуль 1 2/5 имеет число 1 2/5 и противоположное ему число -1 2/5.
Тогда, точка может иметь координаты А(1 2/5) и А(-1 2/5).
г) Значит, модуль 0 имеет только число 0.
Тогда, точка имеет координату А(0).

*Цитирирование задания со ссылкой на учебник производится исключительно в учебных целях для лучшего понимания разбора решения задания.
*К сожалению, временные проблемы с публикацией комментариев с мобильных устройств.