🔥ГДЗ под запретом?

Упр.4.65 ГДЗ Виленкин Жохов 6 класс Часть 2, Просвещение (Математика)

Решение #1 (Учебник 2023)

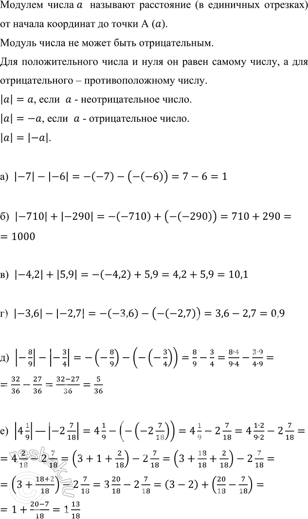
Изображение Вычислите:а) |-7| - |-6|;       в) |-4,2| + |5,9|;    д) |-8/9| - |-3/4|;б) |-710| + |-290|;   г) |-3,6| - |-2,7|;   е) |4 1/9| - |-2 7/18|.Модулем числа a ...

Решение #2 (Учебник 2023)

Изображение Вычислите:а) |-7| - |-6|;       в) |-4,2| + |5,9|;    д) |-8/9| - |-3/4|;б) |-710| + |-290|;   г) |-3,6| - |-2,7|;   е) |4 1/9| - |-2 7/18|.Модулем числа a ...

Решение #3 (Учебник 2023)

Изображение Вычислите:а) |-7| - |-6|;       в) |-4,2| + |5,9|;    д) |-8/9| - |-3/4|;б) |-710| + |-290|;   г) |-3,6| - |-2,7|;   е) |4 1/9| - |-2 7/18|.Модулем числа a ...

Рассмотрим вариант решения задания из учебника Виленкин, Жохов, Чесноков 6 класс, Просвещение:
Вычислите:
а) |-7| - |-6|; в) |-4,2| + |5,9|; д) |-8/9| - |-3/4|;
б) |-710| + |-290|; г) |-3,6| - |-2,7|; е) |4 1/9| - |-2 7/18|.
Модулем числа a называют расстояние (в единичных отрезках) от начала координат до точки А (a).
Модуль числа не может быть отрицательным.
Для положительного числа и нуля он равен самому числу, а для отрицательного – противоположному числу.
|a|=a, если a - неотрицательное число.
|a|=-a, если a - отрицательное число.
|a|=|-a|.
а) |-7|-|-6|=-(-7)-(-(-6))=7-6=1
б) |-710|+|-290|=-(-710)+(-(-290))=710+290=1000
в) |-4,2|+|5,9|=-(-4,2)+5,9=4,2+5,9=10,1
г) |-3,6|-|-2,7|=-(-3,6)-(-(-2,7))=3,6-2,7=0,9
д) |-8/9|-|-3/4|=-(-8/9)-(-(-3/4))=8/9-3/4=(8•4)/(9•4)-(3•9)/(4•9)=32/36-27/36=(32-27)/36=5/36
е) |4 1/9|—|-2 7/18|=4 1/9-(-(-2 7/18))=4 1/9-2 7/18=4 (1•2)/(9•2)-2 7/18=4 2/18-2 7/18=(3+1+2/18)-2 7/18=(3+18/18+2/18)-2 7/18=(3+(18+2)/18)-2 7/18=3 20/18-2 7/18=(3-2)+(20/18-7/18)=1+(20-7)/18=1 13/18

*Цитирирование задания со ссылкой на учебник производится исключительно в учебных целях для лучшего понимания разбора решения задания.
*К сожалению, временные проблемы с публикацией комментариев с мобильных устройств.